Prérequis
Afin d’implémenter Pro Santé Connect, il vous faut faire une demande pour obtenir des accès à notre environnement d’intégration. Vous pouvez faire cette demande depuis la rubrique "Mon raccordement à PSC" de votre Espace Authentifié.
Concepts de base : le protocole OpenID Connect
Introduction
Le protocole OpenID Connect (OIDC) est au cœur du fonctionnement de Pro Santé Connect (PSC). C'est une surcouche d'identification au protocole OAuth 2.0.
Les parties prenantes dans le contexte OIDC sont :
- Les clients: applications qui délèguent l'authentification. On verra aussi parfois le terme de Relying Parties (RP) ou de fournisseurs de service (FS). Dans notre contexte, il s'agit de services numériques du secteur de la santé. Ils doivent implémenter le standard OpenId Connect en tant que client ;.
- Les utilisateurs finaux : pour Pro Santé Connect, il s'agit donc des professionnels de santé ;
- Le fournisseur d'identité : acteur qui effectue l'authentification et fournit les données d'identité aux clients. On verra également le terme Identity Provider.
En résumé, les clients s'appuient sur un fournisseur d'identité pour authentifier des utilisateurs finaux.
- La spécification du protocole se trouve sur : http://openid.net/connect/.
- Pour une référence d'implémentation OpenID Connect voici le lien : http://openid.net/specs/openid-connect-core-1_0.html
Pro Santé Connect se base sur les standards suivants :
- HTTP 1.1 RFC 7230 – 7235 de l’IETF
- TLS 1.2 RFC 5246 de l’IETF
- JSON RFC 7159 de l’IETF
- OpenID Connect 1.0 (OIDC 1.0) de l’OIDF (OpenID Foundation)
- OAuth 2.0 RFC 6749 et RFC 6750 de l’IETF
- JWT (JSON Web Token) RFC 7519, JWS RFC 7515, JWE RFC 7516, JWA RFC 7518 de l’IETF
Les standards suivants ne sont pas appliqués :
- FHIR STU3 Security labels d’HL7
- HEART Profile for OAuth 2.0, HEART Profile for OpenID Connect 1.0 de l’OIDF
Il est à noter que :
- L’entête HTTP Category n’est pas utilisé au sein de Pro santé Connect (voir ci-dessus : standards non appliqués).
- Les échanges applicatifs de données structurées se font uniquement au format JSON.
- Les jetons (identification et information) ont bien un chiffrement asymétrique avec une clé RSA 2048. L’algorithme de chiffrement est du RSA SHA-256.
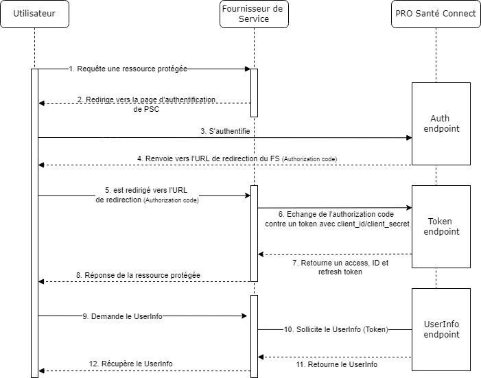
Les flux standards
Le protocole OpenID Connect définit 3 appels REST faits par le client, et 4 endpoints (un du côté client, et trois du côté provider).
En amont, le client s'inscrit (en général manuellement) auprès de Pro Santé Connect. Il lui fournit une URL de redirection (l'URL du client vers lequel l'internaute est redirigé une fois authentifié), aussi appelée "callback endpoint". En retour Pro Santé Connect donne au client un client ID et un client secret.
Lorsque le professionnel de santé clique sur le bouton d'authentification du client, le flux est le suivant :
- Le client fait une redirection vers le "authorization endpoint" de Pro Santé Connect avec son client id et son url de redirection. Pro Santé Connect redirige alors le professionnel de santé vers sa mire d'authentification. Si l'internaute se loggue correctement, Pro Santé Connect renvoie un code d'autorisation au client ;
- Le client fait un appel vers le "token endpoint" de Pro Santé Connect avec le code d'autorisation reçu, et authentifie cette requête avec son client id et son client secret. Pro Santé Connect retourne :
- un access_token (sous la forme d'un Json Web Token),
- un id_token (sous la forme d'un Json Web Token),
- un refresh_token (sous la forme d'un Json Web Token) ;
- Le client fait un appel vers le "userInfo endpoint" avec l'access_token reçu, et Pro Santé Connect renvoie les informations de l'internaute au client.
Outils
Afin de vous familiariser avec le protocole OpenID Connect, nous mettons à disposition une collection de requêtes Postman sur les endpoints du BAS et de la production. Ces requêtes sont fournies à titre d'exemple, sans garantie de fonctionnement, et susceptibles d'être modifiées à tout moment.
Nous mettons également à disposition une série d'outils complémentaires afin de faciliter l'intégration de Pro Santé Connect sur votre service, que vous pouvez retrouver sur le portail PSC Tools.
Accès en 1 clic
- Les endpoints de Pro Santé Connect
- Détail du fonctionnement
- Authentification mTLS / EDC
- Le flux d'autorisation
- Le flux de redirection
- Information sur les changements des tokens PSC
- Les tokens
- Le UserInfo
- RefreshToken
- La déconnexion
- CIBA
- L'introspection
- Durée de vie des accès
- Les scopes
- La bascule ADELI-RPPS
- La gestion des erreurs
- Problèmes connus
- EDIT et les identités de test
- Essaie ta e-CPS
Les endpoints de Pro Santé Connect
Nous utilisons les endpoints tels que définit par le standard OpenID.
Environnement Intégration - Bac à sable
Portail e-CPS BAS : https://wallet.bas.psc.esante.gouv.fr
Environnement de Production
Portail e-CPS : https://wallet.esw.esante.gouv.fr
Détails du fonctionnement

Authentification mTLS
Contexte
Jusqu’à présent, les FS disposaient d’une seule méthode pour s’authentifier auprès de PSC : "client_secret_post" (authentification par Client_ID et Client_Secret).
Désormais, conformément à la feuille de route 2023-2027 de l'ANS et afin de renforcer la sécurité des échanges serveur à serveur, Pro Santé Connect s’inscrit dans une stratégie d'authentification mutuelle mTLS et propose une seconde méthode d’authentification : "tls_client_auth" (authentification par Client_ID et certificat client X.509).
Dans un premier temps, seuls les FS candidats à l’Espace de Confiance (EDC) PSC sont tenus de mettre en œuvre cette nouvelle méthode d’authentification "tls_client_auth". Les FS de la Communauté PSC (le niveau actuel, correspondant au référentiel Pro Santé Connect publié dans l’arrêté du 24 avril 2024) peuvent choisir de conserver la méthode "client_secret_post", ou d’implémenter la nouvelle méthode "tls_client_auth".
Planning
La méthode d’authentification mTLS est disponible depuis :
- Sur le BAS : 05 Novembre 2024
- Sur la production : 18 février 2025
Les formulaires de demande d’accès pour la gestion de vos services PSC (accès réservé aux Responsables techniques des services depuis leur compte iSC) sont en cours d'évolution pour permettre à terme :
- de déclarer la méthode d’authentification choisie (*) : Client_Secret ou mTLS
- de déclarer l'espace (Communautaire ou EDC) que votre service souhaite intégrer
(*) La méthode d'authentification configurée pour un ClientID donné est unique : soit Client_Secret, soit mTLS.
Demande d'accès mTLS / EDC
Le planning de cette évolution des formulaires pouvant être décalé par rapport à la mise à disposition du mTLS et de l'EDC, nous vous invitons actuellement à suivre le processus suivant pour renseigner le formulaire de demande d'accès :
- réaliser vos demandes sur l'Espace Communautaire uniquement : dans le formulaire Gérez vos services Pro Santé Connect, accessible à votre Responsable Technique, sélectionnez le choix "Vous souhaitez :" "Intégrer l'Espace Communautaire" (ne sélectionnez pas le choix "Intégrer l'Espace de Confiance")
- utiliser le champ « Commentaire(s) » du formulaire de demande de création ou modification pour signaler le choix :
- de l’authentification mTLS (hors EDC). Vous avez dans ce cas la possibilité :
- de conserver votre ClientID existant, via une demande de modification
- de demander un second ClientID configuré en mTLS pour le même numéro d'habilitation Datapass, via une demande de création
- de l'authentification mTLS au sein de l'EDC, en précisant votre Numéro de Référencement Unique (NRU) : il s'agit de l'identifiant constitué de 10 lettres, attribué à votre candidature dès le dépôt de celle-ci sur le guichet Convergence. Vous obtiendrez en retour un ClientID spécifique dédié à l'EDC :
- l'accès à l'Espace de Confiance s'effectue obligatoirement via une demande de création
- si vous possédiez déjà un clientID pour votre service, la demande de création s'effectue sur le même numéro d'habilitation Datapass
- de l’authentification mTLS (hors EDC). Vous avez dans ce cas la possibilité :
- transmettre le DN (Distinguished Name) de votre certificat via la demande de Transmission mTLS du formulaire Gérez vos services Pro Santé Connect, suite à la réception de votre ClientID.
👉 Pour obtenir facilement le DN au format attendu, utilisez notre outil en ligne Extracteur de DN. Il vous suffit d’y téléverser votre certificat client (.cer, .crt ou .pem) pour extraire automatiquement le DN Sujet. Celui-ci peut être copié puis inséré directement dans votre demande.
Le support Pro Santé Connect revient vers vous une fois la configuration de votre accès finalisée avec ce DN, pour vous confirmer la disponibilité de votre accès.
Commande du certificat
Le certificat d'authentification client demandé présente les caractéristiques suivantes :
- Certificat X.509 de type ORG AUTH_CLI issu de l'IGC-Santé
- Le Client_ID du service appelant est présent dans le CN (champ "Service applicatif" à renseigner sur la plate-forme de commande PFCNG)
- En cours de validité
- Non opposé
La commande d'un certificat de l'IGC-Santé s'effectue en se connectant sur la plateforme de commande PFCNG à l’aide d’une carte CPx préalablement habilitée. Un lecteur de cartes PC/SC, à se procurer dans le commerce, est nécessaire pour cette connexion. Au moment de la commande de votre certificat ORG AUTH_CLI sur cette plateforme, le Client_ID de votre service doit être renseigné dans le champ "Service applicatif".
- Pour le BAS : la commande d'une carte CPx de test et son habilitation s'effectuent depuis la démarche F414. La carte de test utilisée doit être nominative.
- Pour la production : la commande d'une carte CPx (CPA pour un industriel, CPE nominative pour une structure de santé) et son habilitation sont détaillées sur la documentation de l'IGC-Santé.
Vous pouvez consulter notre webinaire dédié au retrait d’un certificat sur la PFCNG pour plus d’informations.
Configuration du client OpenID Connect
L’intégration du certificat client et la configuration de l’authentification mTLS sur votre client OpenID Connect dépendent de chaque solution : nous vous invitons à consulter la documentation de la solution que vous utilisez. Pour exemples :
- la documentation Postman inclut un chapitre dédié à cette intégration
- le guide Configuration TLS de Keycloak (pdf) fournit des cas d'usage pratiques pour la configuration du mTLS dans cet outil (en complément de la documentation Keycloak officielle)
Conformément aux standards Oauth 2.0 et OIDC, les FS utilisant la méthode d’authentification "tls_client_auth" doivent présenter leur certificat client sur les endpoints suivants :
- Token Endoint
- Introspection Endpoint
- Revocation Endpoint
- Backchannel Authentication Endpoint (flux CIBA uniquement)
La méthode d’authentification sur ces endpoints doit être adaptée pour "tls_client_auth", avec la présentation du certificat client X.509 pour établir la session mTLS avec PSC, en lieu et place de la fourniture du Client_Secret.
Le format des appels OIDC reste inchangé, tel que décrit dans la suite de cette documentation.
Détail des flux
Autorisation
Contexte : Le FS redirige depuis la requête précédente vers le Endpoint d'autorisation pour engager la cinématique d'authentification.
- Origine : FS
- Cible : Authorization Endpoint
- Type d'appel : redirection navigateur
Méthode : GET
Requête :
| Paramètre | Obligatoire | Valeur |
|---|---|---|
| response_type | Oui | 'code' |
| client_id | Oui | ${client id} |
| redirect_uri | Oui | ${callback uri} - Elle doit être strictement identique à la valeur renseignée lors de la création du service |
| scope | Oui | Le champ scope doit prendre a minima la valeur « openid », éventuellement complétée de l'un ou plusieurs des scopes mis à disposition par PSC. |
| acr_values | Oui | Ce champ doit prendre la valeur « eidas1 ». |
| state | recommandé | Valeur générée aléatoirement par le FS, renvoyée telle quelle dans l'url de callback pour être vérifiée par le FS. Il permet de se prémunir contre les attaques CSRF. Il peut également être utilisé pour transmettre des informations sur le site client depuis lequel un utilisateur s'est authentifié. |
| nonce | recommandé | Valeur générée aléatoirement par le FS, recopié dans le token d'authentification pour être vérifié par le FS. Il permet de se prémunir contre les attaques de rejeu. |
| prompt | optionnel | Par défaut la valeur est positionnée à prompt=none. La valeur prompt=login est utilisée pour forcer la ré-authentification de l'utilisateur. Il peut être utilisé conjointement avec max_age. A noter : si l'authentification a été faite par carte CPx le login est transparent pour l'utilisateur. |
| max_age | optionnel | Spécifie le temps écoulé autorisé en secondes depuis la dernière fois que l'utilisateur final a été activement authentifié par PSC. Si le temps écoulé est supérieur à la valeur précisée, PSC doit ré-authentifier l'utilisateur. |
Réponse : Une fois l’authentification terminée, le FI redirige l’utilisateur vers la callback uri avec en paramètre de query :
| code | Code d’autorisation : code à usage unique permettant d’appeler le service / token |
|---|---|
| state | Valeur envoyée par le FS lors de la demande d'autorisation |
| iss | Identité de l’émetteur du jeton : URL de l’endpoint de jetons du serveur d’identification. Paramètre présent sur le BAS depuis le 25/09/2024, sur la PROD depuis le 06/11/2024. |
Remarques, pour des raisons de sécurité :
- Le mécanisme CORS n'est pas autorisé avec Pro Santé Connect
En effet, ce mécanisme permet l’authentification entre le navigateur client et les services PSC ce qui implique de passer dans la requête d’autorisation le client_id et le client_secret, ce qui est contraire à l’exigence 22 : « Le fournisseur de service DOIT conserver le client ID et le Secret au niveau d’un serveur ».
Vous pouvez retrouver ici les exigences complètes de Pro Santé Connect.
- L'utilisation de Pro Santé Connect dans une iframe n'est pas autorisée
Pro Santé Connect suit en cela les recommandations établies par l'ANSSI, en particulier au niveau de la stratégie Content Security Policy mise en oeuvre.
La redirection
Contexte : L'internaute s'est identifié sur le FI, Pro Santé Connect redirige vers le callback du FS, avec un Authorization code dans l'URL.
- Origine : PSC
- Cible : URL de redirection du FS
- Type d'appel : redirection navigateur
Méthode : GET
Information sur les changements des tokens PSC
I. Première étape
Dans le cadre de la mise en œuvre de Pro Santé Identité (PSI), une première étape est réalisée début 2026.
Cette étape entraîne une évolution du contenu des jetons émis par Pro Santé Connect, à savoir :
access_tokenid_tokenrefresh_tokenUserInfo
Calendrier
Cette première étape s'est déroulée selon le calendrier suivant :
- Environnement Bac à sable (BAS) : jeudi 29 janvier 2026
- Environnement de production : jeudi 19 mars 2026
Évolutions introduites par cette première étape
Cette étape introduit deux évolutions majeures concernant le contenu des jetons PSC.
1. Évolution du champ sub
Le champ sub, présent dans les jetons access_token, id_token, refresh_token ainsi que dans UserInfo, voit sa structure évoluer.
Situation avant la modification
Avant cette évolution, le champ sub est composé de trois parties, séparées par le caractère : :
- une valeur fixe :
f - une valeur fixe correspondant à l’UUID de PSC :
550dc1c8-d97b-4b1e-ac8c-8eb4471cf9dd - une valeur variable correspondant à l’identifiant national du professionnel de santé authentifié (contenu du champ
SubjectNameID)
Situation après la modification
Après la mise en œuvre de cette première étape :
- le champ
subne contient plus qu’une seule valeur, - cette valeur correspond à un identifiant technique, au format UUID,
- cet identifiant est attribué de manière unique à chaque utilisateur PSC.
2. Ajout du champ PSISubjectNameID
Un nouveau champ nommé PSISubjectNameID est introduit.
Périmètre
Ce champ est présent dans :
access_tokenid_tokenUserInfo
Contenu du champ
Après la mise en œuvre de cette étape :
PSISubjectNameIDest renseigné avec l’identifiant fonctionnel PSI, au format UUID, pour les utilisateurs ayant activé leur identité PSI ;- le champ est vide pour les utilisateurs n’ayant pas encore activé leur identité PSI.
Points d’attention !
- Les premiers identifiants PSI exploitables fonctionnellement ne seront disponibles qu’à l’issue d’une seconde étape, dont le contenu et le calendrier seront précisés et documentés d’ici la fin du premier trimestre 2026.
- Les fournisseurs de services sont invités à anticiper l’évolution du champ
subpour maintenir une continuité de service :- La valeur du champ
subest totalement modifiée, sans rapport avec la valeur précédente - Si votre architecture s'appuie sur cette information, l'impact peut concerner différents aspects :
- Perte de l’historique utilisateur
- Création de doublons dans les bases locales
- Problèmes d’accès ou de synchronisation pour les utilisateurs
- Si conformément au référentiel, votre architecture s'appuie sur le champ
SubjectNameID, ce changement sera sans impact - Nous vous invitons vivement à tester votre service sur le BAS, afin de vérifier si vous êtes impacté par ce changement
- Nous savons par exemple que le "chainage" de Keycloak peut poser problème suite à ce changement
- Une table de correspondance SubjectNameID/nouveau sub peut vous être utile :
- la table de correspondance pour le BAS est disponible ici
- la table de correspondance pour la Production pourra vous être fournie sur demande via le formulaire de contact (Sujet : MIE, Produit : PSC)
- L'ancien sub se reconstruit à partir des informations fournies dans le chapitre 1. Évolution du champ sub ci-dessus
- A noter : en raison du mécanisme otherIds, un nouveau sub peut être associé à plusieurs SubjectNameID (nous vous invitons dans ce cas à privilégier un rapprochement avec l'identifiant RPPS, seul identifiant pérenne dans Pro Santé Connect)
- Pour échanger sur ce sujet, n'hésitez pas à vous inscrire et participer à l’atelier « Espace d’échange ENS x PSC » qui a lieu tous les vendredi de 15h à 16h
- La valeur du champ
II. Seconde étape
Dans le cadre de la mise en œuvre de Pro Santé Identité (PSI), une seconde étape est réalisée début T2 2026.
Cette étape entraîne une évolution d'une partie des jetons émis par Pro Santé Connect, à savoir :
access_tokenid_tokenUserInfo
Calendrier prévisionnel
Cette seconde étape s'est déroulée selon le calendrier suivant :
- Environnement Bac à sable (BAS) : mardi 31 mars 2026
- Environnement de production : jeudi 16 avril 2026
Évolutions introduites par cette seconde étape
Cette étape introduit deux nouvelles évolutions concernant le contenu des jetons PSC.
1. Évolution du contenu du champ SubjectNameID pour les authentifications par e-CPS
Le champ SubjectNameID, présent dans les jetons access_token, id_token, et UserInfo, est renseigné avec l’identifiant du MIE utilisé par le Professionnel de Santé pour s'authentifier.
Les Professionnels de Santé peuvent disposer de plusieurs identifiants professionnels dans l'annuaire Santé. Ces identifiants peuvent être de type :
- RPPS (un seul possible)
- ADELI (plusieurs possibles - déprécié prochainement)
- Identifiant local : FINESS ou SIRET / rang local (plusieurs possibles - déprécié dans les 3 ans à venir, échéance à confirmer)
La liste complète de tous les identifiants (professionnels et PSI) est renseignée dans le champ otherIds, présent dans le jeton UserInfo. Chaque identifiant y est caractérisé par 3 attributs :
- identifiant : contient l’identifiant
- origine : la source de l’identifiant :
- RPPS
- ADELI (déprécié prochainement)
- FINESS (déprécié dans les 3 ans à venir, échéance à confirmer)
- SIRET(déprécié dans les 3 ans à venir, échéance à confirmer)
- PSI
- EDIT (sur le BAS uniquement)
- AUTRE (sur le BAS uniquement)
- qualite : le niveau de l'identifiant :
- 1
- 2 (uniquement disponible pour les identités PSI certifiées par France Identité)
Le champ otherIds est une liste au format JSON. Dans l’exemple ci-dessous, l’identité contient deux identifiants : un RPPS (préfixé par 8) et un ADELI (préfixé par 0) :

Afin de garantir une homogénéité de la valeur du champ SubjectNameID pour les authentifications par e-CPS, son contenu évolue comme suit.
Situation avant la modification
Le champ SubjectNameID est renseigné avec l’identifiant du MIE utilisé par le Professionnel de Santé pour s'authentifier.
Dans le cas d'une authentification par e-CPS, SubjectNameID contient l'identifiant avec lequel la e-CPS a été activée, quel que soit son type, et quel que soit l'identifiant saisi dans la mire de connexion.
Avec l'exemple ci-dessus, SubjectNameID peut contenir soit l'identifiant ADELI, soit le RPPS.
Situation après la modification
Après la mise en œuvre de cette étape, lors d'une authentification par e-CPS, SubjectNameID contient systématiquement l'identifiant RPPS s'il est présent, quel que soit l'identifiant choisi par l'utilisateur pour activer sa e-CPS, et quel que soit l'identifiant saisi dans la mire de connexion.
Avec l'exemple ci-dessus, SubjectNameID ne peut contenir que l'identifiant RPPS.
Notes :
SubjectNameIDpeut toujours contenir un identifiant local dans certains cas, en particulier pour une e-CPS activée à partir d'une carte CPE ou CPA ne possédant pas d'identifiant RPPS.SubjectNameIDpeut être vide, pour les utilisateurs possédant uniquement un identifiant PSI. Dans ce cas de figure, seul le champPSISubjectNameIDest renseigné, et contient l'identifiant PSI au format UUID.
2. Ajout du champ auth_level
Un nouveau champ nommé auth_level est introduit, afin de permettre aux FS qui le souhaitent d'autoriser l'accès à leur service en fonction du niveau de sécurité du MIE utilisé.
L'usage de ce champ est à faire avec discernement, le nombre d'utilisateurs concerné augmentera progressivement entre 2026 et 2029 conjointement avec le déploiement de Pro Santé Identité.
Périmètre
Ce champ est présent dans les jetons :
access_tokenid_tokenUserInfo
Contenu du champ
Le champ auth_level contient le niveau de sécurité du MIE utilisé pour s'authentifier.
Il peut prendre l'une des valeurs suivantes :
- "1" : niveau Standard (eIDAS Faible)
- "2" : niveau Certifié (trajectoire eIDAS substantiel)
A date, le seul MIE pouvant être au niveau Certifié est la e-CPS.
Par défaut, une e-CPS est activée au niveau Standard. Le niveau Certifié est obtenu lorsque l'utilisateur :
- a fait certifier son identité numérique France Identité en mairie ;
- possède une identité PSI de niveau 2 (validée via une connexion France Identité) ;
- a installé l'application France Identité sur le même appareil que son application e-CPS ;
- a procédé a l'élévation du niveau de certification de sa e-CPS, forcée au sein de son application lorsque tous les pré-requis précédents sont remplis.
Les autres MIE (carte CPx, clé de sécurité FIDO2, ou Délégation d'identité) sont au niveau Standard.
Les tokens
Token
Contexte : Le FS a récupéré un Authorization code. Il veut maintenant récupérer un access_token, un id_token et un refresh_token
- Origine : FS
- Cible : Token Endpoint
Méthode : POST
Requête :
| Paramètre | Obligatoire | Valeur |
|---|---|---|
| grant_type | Oui | ‘authorization_code’ |
| redirect_uri | Oui | ${callback uri} - Elle doit être strictement identique à la valeur renseignée lors de la création du service |
| client_id | Oui | ${client id} |
| client_secret | Oui | ${client secret} |
| code | Oui | code récupéré en query param dans l'uri de callback. |
Réponse : JSON
{ 'access_token': ${access_token}, 'token_type': 'Bearer', 'refresh_token': ${refresh_token}, 'expires_in': ${expiration}, 'id_token': ${id_token}}
La valeur ${access_token} est structurée de la manière suivante :
| exp | Heure d'expiration du jeton au format Epoch. |
|---|---|
| iat | Heure d'émission du jeton ("Issued AT") au format Epoch. |
| auth_time | Heure de l'authentification au format Epoch. |
| jti | Identifiant unique du jeton permettant de révoquer le jeton et empêcher le rejeu. |
| iss | Identité de l’émetteur du jeton. URL de l’endpoint de jetons du serveur d’identification. |
| sub | Identifiant technique de l’utilisateur final. |
| typ | "Bearer" |
| azp | ClientID du service. |
| nonce | Valeur générée aléatoirement par le FS, recopié dans le token d'authentification pour être vérifié par le FS. Il permet de se prémunir contre les attaques de rejeu. |
| session_state | Identifiant de la session utilisateur. |
| acr | "eidas1" |
| scope | Les scopes appelés lors de l'authentification. |
| sid | Identifiant de la session utilisateur. |
| authMode |
Conformément à la norme OpenID Connect, le niveau d’authentification sera communiqué via un claim spécifique présent dans l'Acces_Token. |
| auth_level | Niveau de sécurité du MIE utilisé pour s'authentifier :
L'usage de ce champ est à faire avec discernement : le nombre d'utilisateurs concerné augmentera progressivement entre 2026 et 2029, conjointement avec le déploiement de Pro Santé Identité. |
| SubjectNameID | Identifiant National du professionnel de santé. |
| preferred_username | Identifiant National du professionnel de santé. |
La valeur ${id_token} est structurée de la manière suivante:
| exp | Heure d'expiration du jeton au format Epoch. |
|---|---|
| iat | Heure d'émission du jeton ("Issued AT") au format Epoch. |
| auth_time | Heure de l'authentification au format Epoch. |
| jti | Identifiant unique du jeton permettant de révoquer le jeton et empêcher le rejeu. |
| iss | Identité de l’émetteur du jeton. URL de l’endpoint de jetons du serveur d’identification. |
| aud | Ce champ contient la liste des identifiants des systèmes cibles pour lesquels le jeton a été fourni. La liste doit contenir au moins une entrée. Il doit compter parmi ses valeurs la valeur du champ OAuth 2.0 client_id du système cible. |
| sub | Identifiant technique de l’utilisateur final. |
| typ | "ID" |
| azp | ClientID du service. |
| nonce | Valeur générée aléatoirement par le FS, recopié dans le token d'authentification pour être vérifié par le FS. Il permet de se prémunir contre les attaques de rejeu. |
| session_state | Identifiant de la session utilisateur. |
| at_hash | Hash de l'access_token. |
| acr | "eidas1" |
| auth_level | Niveau de sécurité du MIE utilisé pour s'authentifier :
L'usage de ce champ est à faire avec discernement : le nombre d'utilisateurs concerné augmentera progressivement entre 2026 et 2029, conjointement avec le déploiement de Pro Santé Identité. |
| sid | Identifiant de la session utilisateur. |
| SubjectNameID | Identifiant National du professionnel de santé. |
| preferred_username | Identifiant National du professionnel de santé. |
La valeur ${refresh_token} est structurée de la manière suivante:
| exp | Heure d'expiration du jeton au format Epoch. |
|---|---|
| iat | Heure d'émission du jeton ("Issued AT") au format Epoch. |
| jti | Identifiant unique du jeton permettant de révoquer le jeton et empêcher le rejeu. |
| iss | Identité de l’émetteur du jeton. URL de l’endpoint de jetons du serveur d’identification. |
| aud | Ce champ contient la liste des identifiants des systèmes cibles pour lesquels le jeton a été fourni. La liste doit contenir au moins une entrée. Il doit compter parmi ses valeurs la valeur du champ OAuth 2.0 client_id du système cible. |
| sub | Identifiant technique de l’utilisateur final. |
| typ | "Refresh" |
| azp | ClientID du service. |
| nonce | Valeur générée aléatoirement par le FS, recopié dans le token d'authentification pour être vérifié par le FS. Il permet de se prémunir contre les attaques de rejeu. |
| scope | "openid scope_all" |
| sid | Identifiant de la session utilisateur. |
Remarque : Depuis Keycloak 25 (déployé sur le BAS le 25/09/2024 et sur la Production le 06/11/2024) l'attribut session_state n'est plus présent dans le jeton refresh_token. En raison des évolutions régulières apportées à Keycloak, nous ne sommes pas en mesure de garantir la pérennité de l'attribut session_state dans les autres jetons. Si votre service nécessite d'obtenir la valeur de cet attribut, nous vous préconisons de la récupérer dans l'attribut sid, qui contient la même valeur et qui est présent dans les trois jetons retournés par le token endpoint.
UserInfo
Contexte : Le FS a récupéré un access token. Il veut maintenant récupérer les User Info.
- Origine : FS
- Cible : UserInfo Endpoint
Méthode : GET
Header http: Authorization = 'Bearer ${access_token}'
Vous pouvez trouver plus d'informations sur les données sectorielles et la structure du jeton sur la page dédiée de UserInfo.
RefreshToken
Contexte : Le FS souhaite rafraîchir un jeton en utilisant le refresh_token
- Origine : FS
- Cible : Token Endpoint
Méthode : POST
- Body Content-type : application/x-www-form-urlencoded
| Paramètre | Obligatoire | Valeur |
|---|---|---|
| grant_type | Oui | ‘refresh_token’ |
| refresh_token | Oui | ${refresh_token} |
| client_id | Oui | ${client id} |
| client_secret | Oui (sauf en mTLS) | ${client secret} Pas de secret à fournir pour les authentifications par certificat client (mTLS) |
| scope | Non | openid scope_all |
En cas de succès le serveur renvoie une réponse HTTP 200.
Réponse : JSON
{ 'access_token': ${access_token}, 'token_type': 'Bearer', 'refresh_token': ${refresh_token}, 'expires_in': ${expiration},}
eIDAS
eIDAS est un standard européen visant à normaliser et renforcer la sécurité de l’identification électronique.
Il définit trois niveaux de garantie : eIDAS 1 (faible), eIDAS 2 (substantiel) et eIDAS 3 (élevé).
Pro Santé Connect permettra prochainement aux Fournisseurs de Service d’exprimer le niveau minimal d’authentification attendu pour un accès donné, afin d’adapter leurs politiques de sécurité.
À ce jour, toutes les authentifications délivrées par Pro Santé Connect sont de niveau eIDAS 1.
Des travaux sont en cours pour prendre en charge le niveau eIDAS 2, correspondant à un niveau de garantie supérieur.
Une communication spécifique détaillera prochainement les modalités de déploiement.
En attendant, seul le niveau eIDAS 1 est supporté par la plateforme.
La déconnexion de l'utilisateur
La déconnexion est en cours de spécification dans la norme OpenID Connect. Pro Santé Connect ne prend pas en charge tous les cas possibles, vous pouvez vous référer à la documentation liée à la déconnexion pour en savoir plus.
La déconnexion dans Pro Santé Connect comporte actuellement certaines restrictions, que vous retrouverez détaillées dans la FAQ.
CIBA
CIBA est une fonctionnalité OpenID implémentée dans Pro Santé Connect depuis juin 2022.
Vous pouvez trouver la documentation liée sur la page dédiée à CIBA
L'introspection
L’introspection permet à un fournisseur de service de valider un jeton auprès du serveur d’authentification de Pro Santé Connect.
Vous pouvez trouver la documentation liée sur la page dédiée à l'introspection
Les données de Pro Santé Connect qui expirent
Pro Santé Connect gère plusieurs types de données "périssables" lors du déroulé d'une authentification par OpenID Connect. Chacune de ces données possède une durée de vie qui lui est propre, au delà de laquelle elle doit être régénérée. Le détail de ces durées de vie est fourni dans le tableau ci-dessous.
Une session PSC s'applique de manière globale à un utilisateur donné, indépendamment du ou des services sur lesquels il s'est authentifié avec PSC.
En flux Code Flow, PSC implémente un mécanisme de SSO au sein du navigateur web : chaque service sur lequel l'utilisateur s'authentifie avec PSC bénéficie de ce partage de session au sein du même navigateur. Cela signifie que l'utilisateur s'étant authentifié avec PSC sur un premier service, se verra automatiquement authentifié s'il demande l'accès à un second service avec PSC, dans la limite des durées précisées ci-dessous. L'exigence de rafraichissement de la session PSC par chaque service (EXI PSC 11 du Référentiel PSC) a ainsi pour but d'offrir une expérience satisfaisante à l'utilisateur, lui permettant de bénéficier de ce partage de session tant qu'il reste actif sur au moins l'un des services raccordés à PSC qu'il utilise. En flux CIBA, un mécanisme de SSO est également à l'étude.
Une session PSC débute lors de la première authentification de l'utilisateur. S'il n'y a pas d'activité maintenue sur cette session, elle expire 30 minutes plus tard. En cas d'activité sur la session (nouvelle demande d'authentification ou demande de rafraichissement), sa durée est prolongée de 30 minutes supplémentaires. Jusqu'à une durée maximum de 4 heures, où la session expire automatiquement dans tous les cas. Si une déconnexion (appel au logout endpoint) est demandée par l'un des services, la session PSC se termine immédiatement pour l'utilisateur concerné.
| BAS | PRODUCTION | ||
| Authorization code | Durée de validité de l'Authorization code, émis en retour du auth endpoint, suite à la validation par l'utilisateur de sa demande d'authentification. | 1 minute | 1 minute |
| Access token | Durée de validité du jeton access_token, émis en retour du token endpoint ou de l'introspection. | 2 minutes | 2 minutes |
| Refresh token | Durée de validité du jeton refresh_token, émis en retour du token endpoint ou de l'introspection. Si elle n'est pas rafraichie avant cette durée, la session PSC expire automatiquement. | 30 minutes | 30 minutes |
| Session web max | FI session max : durée maximum d'une session PSC. Au delà de cette durée, la session PSC expire automatiquement dans tous les cas. | 4 heures | 4 heures |
Les scopes
Pro Santé Connect met à disposition différents scopes.
- Il est possible de récupérer un groupe de données spécifiques en utilisant le scope adapté
- Il est possible de combiner plusieurs scopes
| Scope demandé | Claims obtenus dans le jeton UserInfo |
|---|---|
| openid | sub |
| profile | codeCivilite given_name family_name |
| rpps | SubjectRefPro SubjectNameID |
| interop | SubjectOrganization Mode_Access_raison Access_regulation_medicale UITVersion PalierAuthentification SubjectRole PSI_Locale SubjectNameID SubjectOrganizationID |
| referentiel | SubjectNameID othersIds |
| scope_all | tout le contenu du UserInfo |
Bascule ADELI-RPPS
Une nouvelle fonctionnalité permet à PSC de fusionner les identités de PS ayant plusieurs identifiants différents (jeton étendu).
- Cette information est présente dans "userinfo", dans un nouveau champs "otherIds"
- Ce champs est composé d'une liste d'identifiants
- Chaque identifiant contient 3 attributs : identifiant, origine, qualité (voir quelques exemples)
Le champ "SubjectNameID" étant l'identifiant d'authentification, les informations présentes dans "otherIds" permettent aux FS de faire la correspondance avec un identifiant de compte dans leur SI pouvant être différent de l'identifiant avec lequel le PS s'est authentifié à PSC (présent dans le champ "SubjectNameID").
Le jeton étendu est totalement identique et compatible avec le jeton actuel, avec le champ "otherIds" en plus.
Pour plus d'informations concernant la Bascule ADELI-RPPS vous pouvez consultez la page dédiée
Gestion d'erreurs entre Pro Santé Connect et le FS
En tant qu'OpenID Connect provider, Pro Santé Connect peut renvoyer toutes sortes d'erreurs à une application cliente.
Vous pouvez trouver la documentation liée sur la page dédiée à la gestion des erreurs.
Problèmes connus
- Sous macOS, la connexion par carte CPS physique dans un navigateur autre que Firefox nécessite l'installation préalable de CPS-Gestion depuis le Mac App Store
- La présence d'un antivirus qui sécurise les connexions SSL (https) peut empêcher la connexion par carte CPS physique sur les services en ligne. Pour contourner ce problème, il est généralement possible d'ajouter les URL de ces services en ligne dans les exceptions de l'antivirus : vous référer pour cela à la documentation proposée par l'éditeur de votre antivirus.
- Du fait d'une limitation constatée dans le traitement interne du module mod_auth_openidc, l'intégration de Pro Santé Connect dans un serveur Apache via ce module peut nécessiter de configurer le paramètre OIDCPassUserInfoAs à la valeur "json" pour récupérer le contenu du champ otherIds du jeton UserInfo retourné par PSC (la valeur par défaut "claims" ne permettant pas de transmettre le contenu de ce champ à l'applicatif via les headers).
- Bien que le champ pushed_authorization_request_endpoint soit présent et défini dans les données de configuration (endpoint Discovery) de Pro Santé Connect, l'utilisation des Pushed Authorization Requests (PAR) n'est pas activée sur PSC. En fonction du client OpenidConnect utilisé, il peut donc être nécessaire de désactiver explicitement l'utilisation de PAR dans votre configuration.